题目内容
给你一个链表,删除链表的倒数第 n 个结点,并且返回链表的头结点。
进阶:你能尝试使用一趟扫描实现吗?
示例
示例 1:

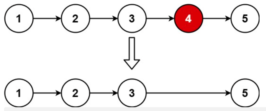
输入:head = [1,2,3,4,5], n = 2
输出:[1,2,3,5]
示例 2:
输入:head = [1], n = 1
输出:[]
示例 3:
输入:head = [1,2], n = 1
输出:[1]
提示
链表中结点的数目为 sz
1 <= sz <= 30
0 <= Node.val <= 100
1 <= n <= sz
题解
本题是一个链表的问题,这类题目建议大家多画图,用图辅助理解效果最好。
首先,还是跟之前一样,强调一下虚拟头结点的重要性。在链表求解的过程中,引入虚拟头结点之后,我们就可以将head指针和其他链表的其他节点一样统一处理,这样就避免了head指针的特殊性,我们处理起来更舒服,因此强烈建议在处理链表问题时,一定要创建一个虚拟头结点,然后让其指向head。
好了,看题,有如下思路:
1、因为要求倒数第n个点,因此链表的长度是一定要知道的,所以我们需要构建一个循环,把链表的长度求出来。
2、假设求出来链表的长度为N,那么倒数第n个点,其实就是正数第N-n+1个点。(公式为:target = length - 倒数第几 +1)
3、由于本题是一个单链表,所以想要删除一个节点,其实就是将要删除的节点的上一个节点的next指针指向要删除节点的下一个节点即可,用图表示如下:

4、倒数第n个节点的上一个节点就是倒数第n+1个节点,对应正数第N-(n+1)+1,即N-n个点。
具体,请看代码实现就好了。
代码
/**  | 

