题目内容
给你一个链表,每 k 个节点一组进行翻转,请你返回翻转后的链表。
k 是一个正整数,它的值小于或等于链表的长度。
如果节点总数不是 k 的整数倍,那么请将最后剩余的节点保持原有顺序。
进阶:
1、你可以设计一个只使用常数额外空间的算法来解决此问题吗?
2、你不能只是单纯的改变节点内部的值,而是需要实际进行节点交换。
示例
示例 1:

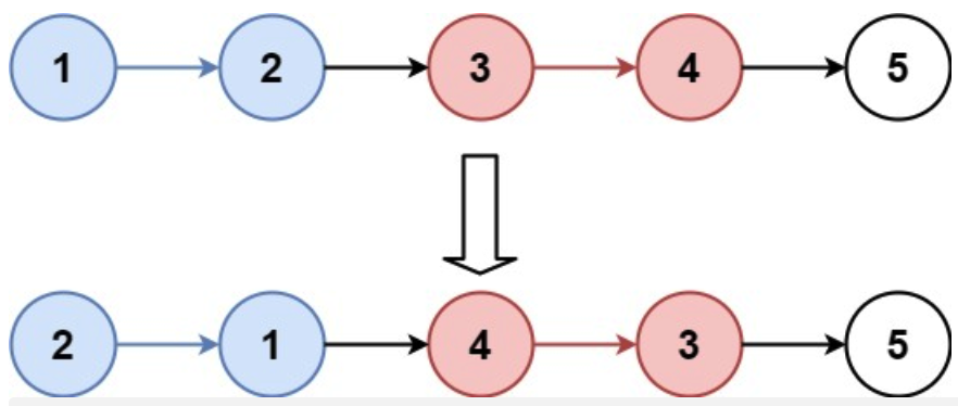
输入:head = [1,2,3,4,5], k = 2
输出:[2,1,4,3,5]
示例 2:

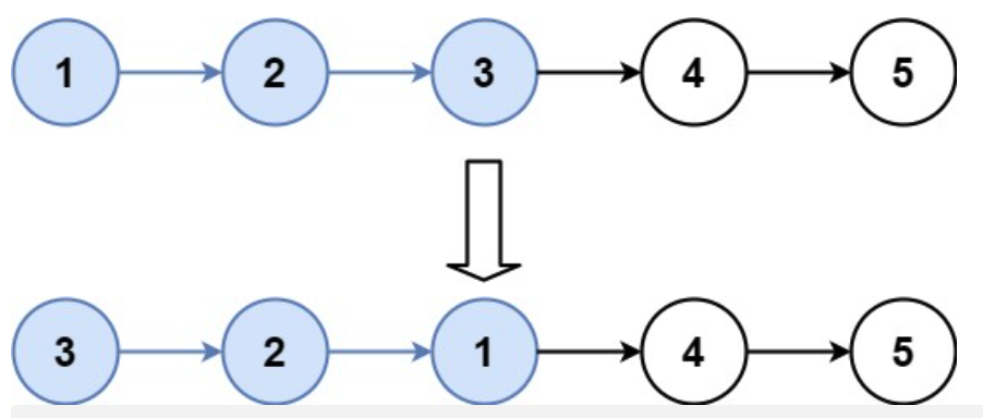
输入:head = [1,2,3,4,5], k = 3
输出:[3,2,1,4,5]
示例 3:
输入:head = [1,2,3,4,5], k = 1
输出:[1,2,3,4,5]
示例 4:
输入:head = [1], k = 1
输出:[1]
提示
列表中节点的数量在范围 sz 内
1 <= sz <= 5000
0 <= Node.val <= 1000
1 <= k <= sz
题解
本题延续之前上题的思路。
首先需要遍历一次链表,观察给出的用例是否大于k个,只有大于k个才存在翻转的必要。在保证大于k的前提下,我们有如下三个操作。
1、内部元素的反向操作

2、虚拟头结点指向第k个节点的操作

3、原来的实际头结点指向第k个结点的下一个结点的操作

Tips:图中虚线是用于临时指向的指针,防止我们找不到该节点。
然后,每k个元素来一次上述操作,直到将全部链表遍历完毕。
代码
/** |

