题目内容
存在一个按升序排列的链表,给你这个链表的头节点 head ,请你删除链表中所有存在数字重复情况的节点,只保留原始链表中 没有重复出现 的数字。
返回同样按升序排列的结果链表。
示例
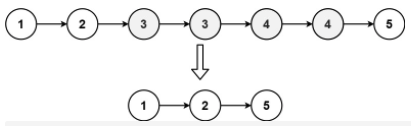
示例 1:

输入:head = [1,2,3,3,4,4,5]
输出:[1,2,5]
示例 2:

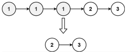
输入:head = [1,1,1,2,3]
输出:[2,3]
提示
1、链表中节点数目在范围 [0, 300] 内
2、-100 <= Node.val <= 100
3、题目数据保证链表已经按升序排列
题解
本题考察双指针算法。具体思考如下:
链表题一般先定义一个虚拟头结点用于指向真实的头结点dummy,方便我们后续操作。
接着,假设有p和q两个指针,固定p移动q,q每次扫描相同的一段,若元素个数多余1个,整段元素删除:p=q->next,然后让q继续扫描。
时间复杂度:整个链表只扫描一遍,所以时间复杂度是 O(n)。
代码
/** |

