题目内容
给你一个链表的头节点 head 和一个特定值 x ,请你对链表进行分隔,使得所有 小于 x 的节点都出现在 大于或等于 x 的节点之前。
你应当 保留 两个分区中每个节点的初始相对位置
示例
示例 1:

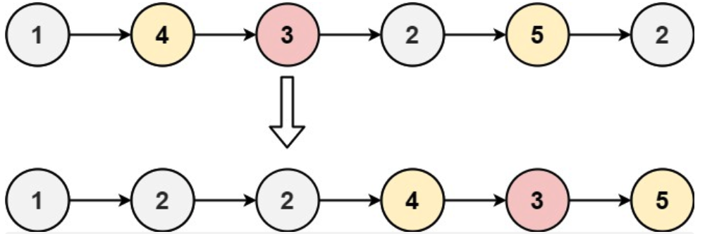
输入:head = [1,4,3,2,5,2], x = 3
输出:[1,2,2,4,3,5]
示例 2:
输入:head = [2,1], x = 2
输出:[1,2]
提示
1、链表中节点的数目在范围 [0, 200] 内
2、-100 <= Node.val <= 100
3、-200 <= x <= 200
题解
本题考查链表操作,题目本质是链表快排的一部分。在思路上,就是把分界点的左边的链表求出来,把分界点右边的链表求出来,然后左边->右边。
具体就是扫描整个链表,然后左边的连接到左边的链表,右边的连接到右边的链表,最后合并即可。
代码
/** |

