题目内容
给你一个整数 n ,求恰由 n 个节点组成且节点值从 1 到 n 互不相同的 二叉搜索树 有多少种?返回满足题意的二叉搜索树的种数。
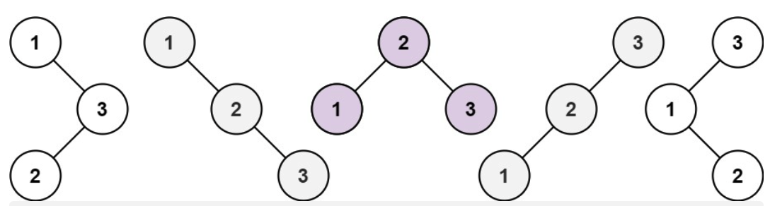
示例
示例 1:

输入:n = 3
输出:5
示例 2:
输入:n = 1
输出:1
提示
1 <= n <= 19
题解
本题因为仅求方案数,且可以通过求解子问题递推出最终答案,因此采用动态规划方法求解。
1、状态表示:F(n)表示n个节点的二叉搜索树的方案数量
2、状态转移:左子树可能有0,1,2, … , n-1个节点,对应的右子树有n-1,n-2,n-3, … , 个节点,F(n)是上述全部情况的加和。
即:F[n] = ΣF(k) x F(n-1-k) ,k从0到n-1。
代码
class Solution { |

