题目内容
给你一个整数数组 nums ,其中元素已经按 升序 排列,请你将其转换为一棵 高度平衡 二叉搜索树。
高度平衡 二叉树是一棵满足「每个节点的左右两个子树的高度差的绝对值不超过 1 」的二叉树。
示例
示例 1:

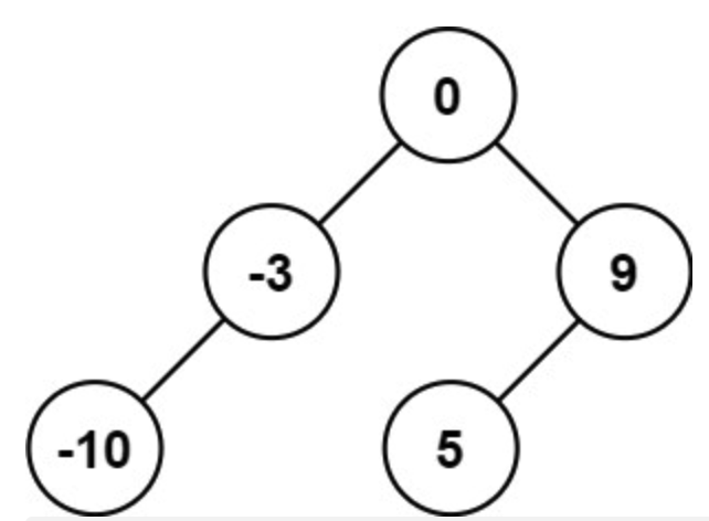
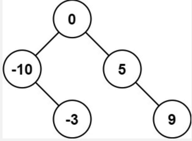
输入:nums = [-10,-3,0,5,9]
输出:[0,-3,9,-10,null,5]

解释:[0,-10,5,null,-3,null,9] 也将被视为正确答案:
示例 2:

输入:nums = [1,3]
输出:[3,1]
解释:[1,3] 和 [3,1] 都是高度平衡二叉搜索树。
提示
1、1 <= nums.length <= 10^4
2、-10^4 <= nums[i] <= 10^4
3、nums 按 严格递增 顺序排列
题解
本题在思路上,可以采用递归建立整棵二叉树的方式进行。因为要建立平衡的二叉搜索树,因此左右子树的高度差不大于1,这就要求左右子树的节点数量必须近乎相等,因此每次以中点作为根是必要的。然后,以左半边为左子树,右半边为右子树,递归建立左子树和右子树之后,令根节点指针分别指向左右子树即可。
有个结论大家记住就行了,这里不展开证明:利用上述方法构造出的二叉搜索树的高度为
,这是满足形成一颗高度平衡的二叉搜索树的条件的。
代码
/** |

