题目内容
给定一个二叉树,判断它是否是高度平衡的二叉树。
本题中,一棵高度平衡二叉树定义为:一个二叉树每个节点 的左右两个子树的高度差的绝对值不超过 1 。
示例
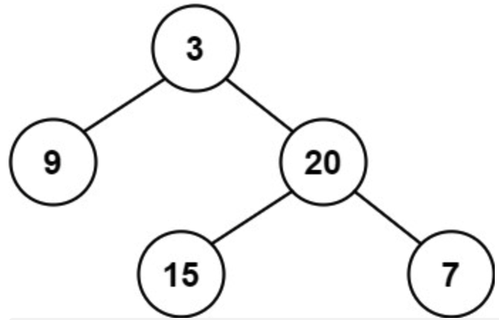
示例 1:

输入:root = [3,9,20,null,null,15,7]
输出:true
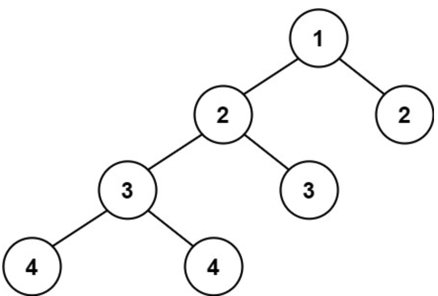
示例 2:

输入:root = [1,2,2,3,3,null,null,4,4]
输出:false
示例 3:
输入:root = []
输出:true
提示
1、树中的节点数在范围 [0, 5000] 内
2、-10^4 <= Node.val <= 10^4
题解
本题思路就是对递归对二叉树的左右子树的最大深度进行判断,当深度绝对值之差大于1时,将全局答案设置为false,dfs函数返回该子树的最大深度值。
代码
/** |

