题目内容
给你二叉树的根节点 root 和一个表示目标和的整数 targetSum ,判断该树中是否存在 根节点到叶子节点 的路径,这条路径上所有节点值相加等于目标和 targetSum 。
叶子节点 是指没有子节点的节点。
示例
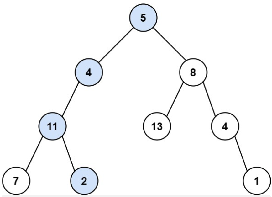
示例 1:

输入:root = [5,4,8,11,null,13,4,7,2,null,null,null,1], targetSum = 22
输出:true
示例 2:

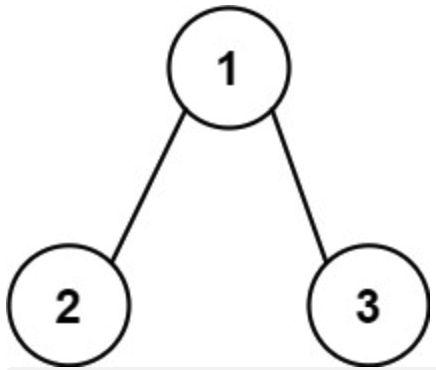
输入:root = [1,2,3], targetSum = 5
输出:false
示例 3:
输入:root = [1,2], targetSum = 0
输出:false
提示
1、树中节点的数目在范围 [0, 5000] 内
2、-1000 <= Node.val <= 1000
3、-1000 <= targetSum <= 1000
题解
本题采用递归的思想求解。有如下具体思考:
假设u为递归的每颗子树的根,a和b为左右儿子,f(u)代表从根到u这个点的路径和,那么f(a) = f(u) + a -> val ; f(b) = f(u) + b -> val 。
在实现上,我们可以通过更新每次迭代后的sum目标值,去判断当u为叶子节点后,更新的sum是否等于0来求出答案。
具体看代码即可。
代码
/** |

