题目内容
给你二叉树的根节点 root 和一个整数目标和 targetSum ,找出所有 从根节点到叶子节点 路径总和等于给定目标和的路径。
叶子节点 是指没有子节点的节点。
示例
示例 1:

输入:root = [5,4,8,11,null,13,4,7,2,null,null,5,1], targetSum = 22
输出:[[5,4,11,2],[5,8,4,5]]
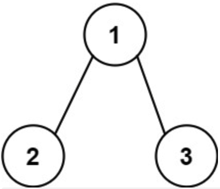
示例 2:

输入:root = [1,2,3], targetSum = 5
输出:[]
示例 3:
输入:root = [1,2], targetSum = 0
输出:[]
提示
1、树中节点总数在范围 [0, 5000] 内
2、-1000 <= Node.val <= 1000
3、-1000 <= targetSum <= 1000
题解
本题和上一题的原理是一样的,只不过本题需要把全部负责sum的路径记录下来。在做法上,依旧采用递归的思想进行,不过不同之处在于需要额外写一个递归函数,用于记录答案,这里采用DFS遍历的方式。具体就是:自顶向下从根开始,每次走过一个节点后sum更新,知道走到叶子节点,sum为0时,说明存在一条路径,此时记录一下路径答案。
具体请看代码。
代码
/** |

