题目内容
给你二叉树的根结点 root ,请你将它展开为一个单链表:
1、展开后的单链表应该同样使用 TreeNode ,其中 right 子指针指向链表中下一个结点,而左子指针始终为 null 。
2、展开后的单链表应该与二叉树 先序遍历 顺序相同。
进阶:你可以使用原地算法(O(1) 额外空间)展开这棵树吗?
示例
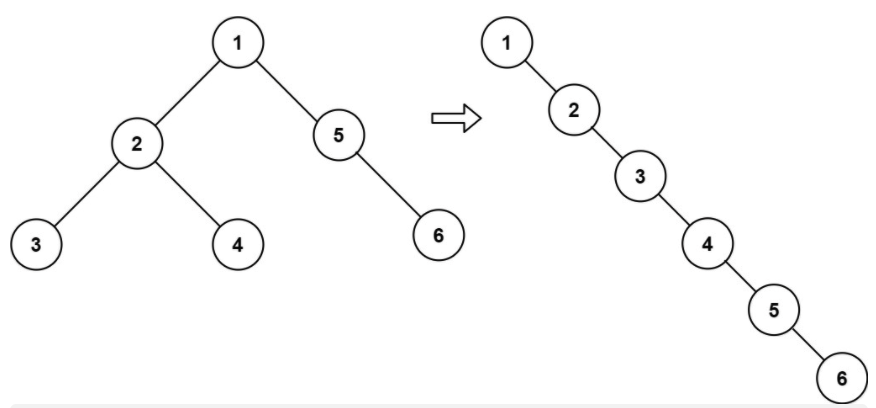
示例 1:

输入:root = [1,2,5,3,4,null,6]
输出:[1,null,2,null,3,null,4,null,5,null,6]
示例 2:
输入:root = []
输出:[]
示例 3:
输入:root = [0]
输出:[0]
提示
1、树中结点数在范围 [0, 2000] 内
2、-100 <= Node.val <= 100
题解
本题由于需要使用原地算法,因此我们这边无法采用递归的做法实现。所以,我们需要对每个根的左右子树做一些处理即可得到我们想要的链表。具体处理如下:
如果根存在左子树,将左子树的右链接入当前节点的右边,否则遍历至右儿子,请看示意图。

具体请看代码。
在空间复杂度上,由于没有开辟新的空间,因此空间复杂度是O(1)的。
在时间复杂度上,虽然代码中有两层循环,但这两层循环是吧树的全部右链遍历了一下,是不会出现重复遍历的,因此整体的时间复杂度是O(n)的。
代码
/** |

