题目内容
路径 被定义为一条从树中任意节点出发,沿父节点-子节点连接,达到任意节点的序列。同一个节点在一条路径序列中 至多出现一次 。该路径 至少包含一个 节点,且不一定经过根节点。
路径和 是路径中各节点值的总和。
给你一个二叉树的根节点 root ,返回其 最大路径和 。
示例
示例 1:

输入:root = [1,2,3]
输出:6
解释:最优路径是 2 -> 1 -> 3 ,路径和为 2 + 1 + 3 = 6
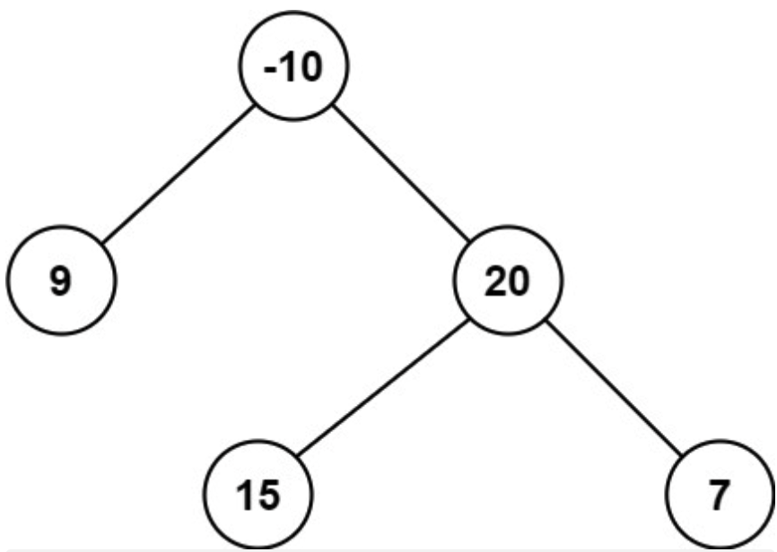
示例 2:

输入:root = [-10,9,20,null,null,15,7]
输出:42
解释:最优路径是 15 -> 20 -> 7 ,路径和为 15 + 20 + 7 = 42
提示
1、树中节点数目范围是 [1, 3 * 10^4]
2、-1000 <= Node.val <= 1000
题解
本题在思路上,采用递归的思想来求解。
首先,树中每条路径,相比较之下一定存在一个离根节点最近的点,通过这个点,我们可以将整条路径分成两个部分。由于两个部分相互独立互不干扰,因此可以通过求左右两个部分的最值来求路径的最大和。这样就可以采用递归的思想来做了。
通过递归遍历整棵树,递归 时维护每个节点向下延伸的最大路径和。对于树的每个点,递归计算完左右两颗子树后,将左右两颗子树的最大路径和该点拼接即可得到以该点为离根最近点的最大路径。
当然,对于接下来的点遍历的选择,选择左右子树中值较大的那一条继续延伸。
代码
/** |

