题目内容
给定一个链表,判断链表中是否有环。
如果链表中有某个节点,可以通过连续跟踪 next 指针再次到达,则链表中存在环。 为了表示给定链表中的环,我们使用整数 pos 来表示链表尾连接到链表中的位置(索引从 0 开始)。 如果 pos 是 -1,则在该链表中没有环。注意:pos 不作为参数进行传递,仅仅是为了标识链表的实际情况。
如果链表中存在环,则返回 true 。 否则,返回 false 。
用 O(1)(即,常量)内存解决此问题。
示例
示例 1:

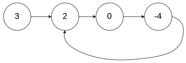
输入:head = [3,2,0,-4], pos = 1
输出:true
解释:链表中有一个环,其尾部连接到第二个节点。
示例 2:

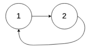
输入:head = [1,2], pos = 0
输出:true
解释:链表中有一个环,其尾部连接到第一个节点。
示例 3:

输入:head = [1], pos = -1
输出:false
解释:链表中没有环。
提示
1、链表中节点的数目范围是 [0, 10^4]
2、-10^5 <= Node.val <= 10^5
3、pos 为 -1 或者链表中的一个 有效索引 。
题解
本题采用双指针算法求解。
定义两个指针,i和j,i每次往前走一步,j每次往前走两步。当j指针走到了null,说明链表中无环。当j与i指针相遇时,说明存在环。
这里解释一下,为什么i指针和j指针一定会相遇:
假设给出的链表存在一个环,那么i走到环环的入口时,第j个指针已经走到环上的某个位置,假设距离入口(这里指从j开始往前数的方向)有x步。那么,由于第二个指针j走的快,每次比i指针多走1步,所以当第i个指针再走x步时,第j个指针就会比第i个指针多走x步,则i和j就会相遇。
时间复杂度是: O(n)。
代码
/** |

