题目内容
给定一个链表,返回链表开始入环的第一个节点。 如果链表无环,则返回 null。
为了表示给定链表中的环,我们使用整数 pos 来表示链表尾连接到链表中的位置(索引从 0 开始)。 如果 pos 是 -1,则在该链表中没有环。注意,pos 仅仅是用于标识环的情况,并不会作为参数传递到函数中。请使用 O(1) 空间解决此题。
说明:不允许修改给定的链表。
示例
示例 1:

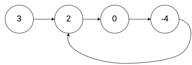
输入:head = [3,2,0,-4], pos = 1
输出:返回索引为 1 的链表节点
解释:链表中有一个环,其尾部连接到第二个节点。
示例 2:

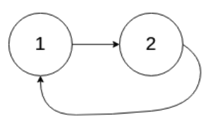
输入:head = [1,2], pos = 0
输出:返回索引为 0 的链表节点
解释:链表中有一个环,其尾部连接到第一个节点。
示例 3:

输入:head = [1], pos = -1
输出:返回 null
解释:链表中没有环。
提示
1、链表中节点的数目范围在范围 [0, 10^4] 内
2、-10^5 <= Node.val <= 10^5
3、pos 的值为 -1 或者链表中的一个有效索引
题解
本题仍然采用双指针算法求解。思路与上一题有相似之处,有如下思考:
用两个指针i和j分别从起点开始走,i每走一步,j走两步。如果过程中j走到了null,说明链表中无环。当j继续走,与i相遇时,说明有环。这个时候,为了判断环的入口,需要让i返回起点,j在原地,然后继续往前走,当i和j第二次碰面后,碰面的节点就是环的入口。

根据图,以下是证明:
A是起点,B是环的入口,C是两个指针第一次相遇点,AB之间距离为x,BC之间距离为y。当i走到B点时,由于j比i多走一倍的路程,因此j已经在环上走了x步。用z表示从C点顺时针走到B点的距离,第一次相遇j走的距离是x+(y+z)×n+y,n代表圈数,同时j走过的距离是i的两倍,也就是2(x+y)。因此就有x+(y+z)×n+y = 2(x+y)。故而求得x=(n−1)×(y+z)+z。因此,让j从C点开始走,走x步,会恰好走到B点,让 i从A点开始走,走x步,也会走到B点。
代码
/** |

