题目内容
给定一个单链表 L 的头节点 head ,单链表 L 表示为:
L0 → L1 → … → Ln-1 → Ln
请将其重新排列后变为:
L0 → Ln → L1 → Ln-1 → L2 → Ln-2 → …
不能只是单纯的改变节点内部的值,而是需要实际的进行节点交换。
示例
示例 1:

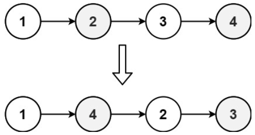
输入: head = [1,2,3,4]
输出: [1,4,2,3]
示例 2:

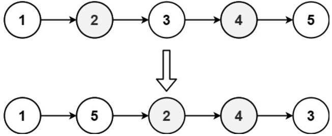
输入: head = [1,2,3,4,5]
输出: [1,5,2,4,3]
提示
1、链表的长度范围为 [1, 5 * 10^4]
2、1 <= node.val <= 1000
题解
本题考查双指针算法。
通过题,我们首先能发现,重新拼接的链表是一半一半的规律,前一半不动,后一半翻转的同时接到前一半每两个节点之间。因此我们可以模拟这个过程,然后把最后的链表给搞出来。
分两步处理:
1、首先,让后半段的链表指针反向,整个链表变成:
L1→L2→L3→…→L⌈n/2⌉←L⌈n/2⌉+1←…←Ln。
2、然后,用两个指针分别从1和n的位置开始往中间扫描,将后半段交替插入到前半段即可。
这里要注意一下,因为链表数量可能是奇数可能是偶数,因此奇数时,两个链表中间会有中点,这个点是最后的结尾点,需要让其next为null;如果是偶数点,那么链表可以刚好分半,那么最后一个点就是第二部分链表的第一个节点,要让其的next为null。
代码
/** |

