题目内容
给你一个整数 n ,请你生成并返回所有由 n 个节点组成且节点值从 1 到 n 互不相同的不同 二叉搜索树 。可以按 任意顺序 返回答案。
示例
示例 1:

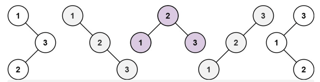
输入:n = 3
输出:[[1,null,2,null,3],[1,null,3,2],[2,1,3],[3,1,null,null,2],[3,2,null,1]]
示例 2:
输入:n = 1
输出:[[1]]
提示
1 <= n <= 8
题解
本题采用深度优先搜索算法求解。在思考上,本题通过枚举根节点的位置来依次生成二叉搜索树。思考如下:
1、对于每段连续的序列[L,R]枚举二叉搜索树根节点的位置
2、分别递归求出[L,K-1],[K+1,R]的所有子树方案;
3、将左子树的任意一种方案和右子树的任意一种方案拼在一起,就可以得到当前节点的一种方案
在编程实现上,每次根节点需要重新new出来,因为如果只用1个根节点,其实最后放入res中的答案全部一样,就错了!从计算机本身的原理上来说,是针对相同的内存地址修改其值。
注:本题中N个节点的二叉搜索树方案数为卡特兰数,公式为:
代码
/** |

